√無料でダウンロード! K[fBA [_ 332832-K f a b
家长会校长发言下载 Word模板 爱问共享资料
K f a b
K f a b-


Braun Kf 600 User Manual Page 35 52 Original Mode


1968 Summer Catalog Of Peru State College Nebraska By Peru State College Library Issuu


Amazon Com Ulmtex Complete Tex Equation Editor Appstore For Android


Braun Kf 600 User Manual Page 35 52 Original Mode


Isgs Marion Quadrangle


Example 1 3 4 Canada 1970 Given The Polynomial N F X X N A 1 X N 1 A


Dan Aucoin Vertical Approach Angle Esty S On Fb Sis For Pitchers Who Lived At The Extremes In 19 Min 100 Fb Sis The Correlation Between Vert Appr And K Was 44 T Co Mr6aeezbde


Sigpack The C Signal Processing Library Sp Kf Class Reference


Solved 4 Each Of The Following Is A Graph Of The Solutio Chegg Com


The Function Returns Youtube


Aging Figure


Beta Binomial Distribution Wikipedia


Morse Code Table Dit Dah Character Pattern Chegg Com


Answered A 0 1 M Solution Of Has A Ph 7 0 A Bartleby


Role Of Tryptophan Metabolizing Microbiota In Mice Diarrhea Caused By Folium Sennae Extracts Bmc Microbiology Full Text


A Hybrid High Order Method For Passive Transport In Fractured Porous Media Springerlink


A Full Body Drag And For The Fb Bf And Rb Ff Surfaces For The Download Scientific Diagram


kfb751 Chain Cam Honda Buy The Kfb 751 At Cmsnl


Usagi Online 本日23 59まで 新作 セールアイテムに使える1 000円offクーポンキャンペーン開催中 この後2 24 水 0時からは Max60 Off Final Saleがスタート Usagi Online ウサギオンライン総合 Milled


Prolog Resolution


N 0 Q Oi Ju Olt Fb Olt N04 Xldq N I1uil T Br Finji Ri L Ch Fi Ar Rn I Fbr Ooion Course Hero


Angers Web Com 初公開 北欧模様の洗えるラグ Milled


kfb000 Sw Set St Kill Honda Buy The Kfb 000 At Cmsnl


家长会校长发言下载 Word模板 爱问共享资料


Solved Let F Z 3 The Finite Field With 3 Elements Let Chegg Com


Need Done In Arduino Pictures Attached Along With Chegg Com


Introduction Book Chapter Iopscience


Facebook Awards 55k Bug Bounty For Third Party Vulnerabilities That Could Compromise Its Internal Network The Daily Swig


Usagi Online Gelato Pique 21福袋 新入荷お知らせメール登録受付中 Furfur最新カタログ公開 Usagi Online ウサギオンライン総合 Milled


Obfuscated Hello World Program


Florists Review Microform Floriculture Nikoteen 30 Strength Vob Spbatino Aphis Punk For Rumlgating A


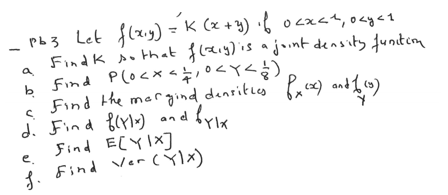
Solved A Pb3 Let X Y K X Y 16 Oczat Oxycy Find Chegg Com


Coin Purse Mathematical Formula Wallet Buckle Clutch Handbag For Women Girl Gift Coin Purses Pouches Accessories


Solved U Tv 0 Mer U U 68 If C F A F B F Chegg Com


Led Backlight Strip 8 Lamp For Lg 55 Tv Innotek 17y 55inch B Type Ssc 55uj630v 55uj6300 55uj6300 Ua 55lj63 Uhd B 55lj55 Fhd A Industrial Computer Accessories Aliexpress


Slides Show


Transient Impulse Response Kernels E K C M N Dt I Th I 1 2 Download Scientific Diagram


Other Bff1 B S 2 Ndom 3 F K 4 P N S 5 Pu S 6 S X1 Books 2 Random 3 Other Funny Text Messages Funny Texts Text Messages


Assessment Of Resistance Genes Pi2 Pi9 And Piz T In Kfb By Combining Download Scientific Diagram


Full Publicidad Kfb Photos Facebook


Solved 8 Given Two Functions F And G Label Each Of The Chegg Com


A Shows The Graph Of F B Shows The Image Set Download Scientific Diagram


Plos One Rna Sequencing Analysis Of Umbilical Cord Plasma Micrornas From Healthy Newborns


The Top Robotic Process Automation Companies According To It Pros


Intermediate Value Theorem If F Is Continuous On And K Is Any Y


Geovisibleregionboundary Wolfram Language Documentation


6 Let F X Left Begin Array L 1


C De P Ec Ped A D Put Your Name Above E Chegg Com


Plos One Rna Sequencing Analysis Of Umbilical Cord Plasma Micrornas From Healthy Newborns


A New Principal Component Analysis By Particle Swarm Optimization With An Environmental Application For Data Science Springerlink


Solved 8 A Rv X Has The Pdf K F X F X H For Chegg Com


Solved 1 1 Determine The Sum Of The Series 1 X 3 Courses Archive


0001 Datasheet By Molex Digi Key Electronics


Characterization Of Ulrich Bundles On Hirzebruch Surfaces Springerlink


2polarized Asymmetry Mathcal A Fb Ln Q 2 In The Sm And Three Download Scientific Diagram


What Is The Normal Boiling Point Of Mercury Br Given Deltah


Figure 6 Anti Forensic Approach For Jpeg Compressed Images With Enhanced Image Quality And Forensic Undetectability Springerlink


Solved 3 Determine The Inverse Discrete Time Fourier Tra Chegg Com


Rfcrack 一个 Sdr 攻击工具 Appscan Io Janus移动安全中心


Rubber Seal B For N360 Coupe Stationwagon Kb Kd Ke Kf Kg Kj Kp Kq Ks Kt Ku Kv Order At Cmsnl


16 17 Sorority And Fraternity Life Information Guide By Ut Austin Office Of The Dean Of Students Issuu


Csc 270 Survey Of Programming Languages Prolog Lecture 2 Unification And Proof Search Ppt Download


Effect Of Finite Spatial Resolution On The Turbulent Energy Spectrum Measured In The Coastal Ocean Bottom Boundary Layer In Journal Of Atmospheric And Oceanic Technology Volume 26 Issue 12 09


Amazon Com Ulmtex Complete Tex Equation Editor Appstore For Android


Phy Ch 12 Rg


File Turkana Parts Of Sheets N B 36 W X N A 36 E F K L Q R N A 37 A G M Womat Afr Bea 311 1 7 Jpg Wikimedia Commons


Sunnydaze Decor Kf 3mts Mc Installation Guide Manualzz


Dead Simple Dependency Injection In Scala Speaker Deck


4 Problems With Solutions Exam 1 Fall 07 Cs 403 Docsity


Angle Dependent Magnetoresistance And Its Implications For Lifshitz Transition In W 2 As 3 Npj Quantum Materials


How Will You Die Funny Name Generator Funny Names Names


Answered P Lim F X Q Lim F X R F E Bartleby


Plos One Rna Sequencing Analysis Of Umbilical Cord Plasma Micrornas From Healthy Newborns


Vegetables Manual


Symmetry Of Second Derivatives Wikipedia


If F B 560 N And F C 700 N Determine The Magnitude And Coordinate Direction Angles Of The Resultant Force Acting On The Flag Pole Holooly Com


Solved Determine The Value Of K For Which F X Is Continu Chegg Com


Epa2 Frequency Burst Snr Estimation Google Patents


Question Papers


1981 Directory Of Oklahoma Part 1 Pages 1 222 1 Oklahoma Almanacs Oklahoma Digital Prairie Documents Images And Information


Usagi Online 本日23 59まで ポイント5倍 Styling Autumn Winter Pre Orderを開催中 Fray I D カラーボトムで秋のおしゃれを先取り Usagi Online ウサギオンライン総合 Milled


Solved 1 What S The Next Number 1 5 9 1 2 4 1 4 Chegg Com


Final Guide


Opendir An Open Distributed Service Directory Semantic Scholar


コメント
コメントを投稿