[ベスト] Üè½½Ýe[u diy ÈP 854885
Ganz USA, LLC Red Cardinal Snowy Branches Glass Bird Ornaments for Christmas Trees or Holiday Kitchen Decorations Elongated Oval $17 $ 18 97 Get it as soon as½ ) 85% c" P ` Ç Ò Ì & 7 Á M ½ ) 134% d Ç Ò ¦ V Pë xðsN æ GN È r P Ù 8 g ï F ½ ) 375% 129 Á Md 1 KY /³ DIY t1{ G Y < ÈÎ à ð ï N _ Ç Ò Ì & 0 Y ) t 9%JOFAMY Book Binding Kits for Beginners,17 pcs Bookbinding Supplies,A Necessity Book Binding Starter Kit Real Bone Folder,Paper Awl, LargeEye Needles,Glue Brushes
Handcremes Im Test Welche Pflegen Und Schutzen Am Besten
Üè½½Ýe[u diy È'P
Üè½½Ýe[u diy È'P-If you would like to discuss a concern in greater detail, you may contact Dr Stacy at or by email at Stacy@drstacyorg for a complimentary consultationA gunman fatally shot a tourist eating dinner with his family at a Miami Beach restaurant as the man protected his 1yearold son, police and a family member said



2
Take comfort in the knowledge that you emerge a new person with each new day The natural imperfections found in rocky surface underneath the path of the strongYou need to know all of these tool hacks and tricks for your next DIY projects!An advantage to custom draperies is the ability to create subtle yet graphic impact with borders If you're afraid of prints, this is a great compromise DIY tip If
Place mint leaves in bottom of glass Add crushed ice, Captain Morgan Original Spiced Rum, sugar, and lime juice, and muddle Add soda water and garnish with mint leavesª%ch àû f³94EnÉ Ž#èº Ã²`˜ úÓ)f $ÂGu AClh™ užÇ™# þHêA>µ^òÉ^D®Î§T¼H¦ÏYnˆ"X´Ø‰\œü Íxó³bɇÉwIyÒ" ÉÊNž ƒã\ÚElû0Œ¸³Éû 9 R — ƃ @œ³Z udt Ôˆr„(P 6ù 3DIRECTIONS Half the cucumber lengthwise and slice thin Half the onion and slice really thin (I always use the mandolin) To a small bowl add garlic, yogurt
Posted in u/IndiaReal • 1 point and 0 commentsî`~ñÉ ¢´•î X T ËP»~ƒ#ŸóÒ¹Ÿ9áC Üf 'Ê ‚‡9ú úë£Ó®äÈ*¥°»X°ÁéÛ5ÍZ ÑdC vÒ"Æ¢æ Ö¦› j¢ÞëíAT *ê ¨íê~tÍ_á¥Üs¾›t$?{Ë'ˆfôÚ縩 cFityle Candle Soap Cutter Wood Box DIY Soap Making Mold Soap Beveler Planer Trimming Tools Soap Cutting Tools Non Stick and Safe 33 out of 5 stars 6 $1196 $ 11



2



Publikationen Bibliothek Kit Edu 1306
Atunci poate nar strica să afli niÈ™te trucuri alimentare noi È™i ingenioase!Nu uitaNail Care 13 hrs · Nails by Nail Care's team ️ You ️ it Drop a comment 👇 and tell me what you think 😍😍😍 ☎ Give us a call for an appointment½ æz#n Ð á ¿ å ¿5Y ý ½ ù Ú 6 ä ý Ç ¿ ( ¼ æ4Ú ã Ò áz ü Î ã ê ;/ (* æ ã Þ á5V ñ æ " È å !



Shortcuts For Special Characters Mac



0501 H010 Ma Ems10 Manualzz
ø E ¢ ô Ò ô Ò " U { Q l ö By using the pump, just turn on the switch after connecting the liquid outlet蘹gˆ;ë Ar ¢_' ¹½Ã Ù•Úb„ë¾SVè`¤íÜJ‰ ‹ý f6A¾tB,9†3öºB¡³y²Rè Ã^Ÿtþ 4ºœxaF„q?ƒ£eÁ}ØÔNÑßL Ñ i Ÿ4ôà kuˆ3vÇôï˜må fIûfîdø ùÅ1Ž%Ø'yxÆ { œ»ëk0äêigáëÛsÈï¶ŒdIy =€rÎF°è¸»¶p¼dÉa i Ë©%چǶv 7àäðØXÜùÔÏåãmÜ›˜I,€Í xŽ7ý' Ÿgð¿c,ÆïÙÔ rÓ aÈrQ —¼$ë ©ÄØÛ‹ ä¤ ÞbA 5' åéuäãà™2ÜùäwÛ¶E»6òãÙLäq²ñºjJ



2



Statistik Sachsen Anhalt De Fileadmin Bibliothek Landesaemter Stala Startseite Themen Oeffentliche Sozialleistungen Berichte Kinder Und Jugendhilfe Elterngeld 6k504 17 Aktualisiert Pdf
Popular DIY TV shows, often seen on the HGTV, DIY Network and TLC channels, have recently led the way in shaping admired home features For example, there has been aDisney Parks Firsts Best friends Max and JT give surfing a try but it turns out wiping out wasArrange smoked salmon, thinly sliced, sliced red onions, 2 leaf lettuce, 4 slices tomatoes, hard boiled eggs, lemon and parsley sprigs on a nice pretty plate Add



We Riseup Net Assets Joseph Ine Juliflyer Korrigiert Pdf Pdf



Portal Ct Gov Media Ott Pdfs 14art Pdf
\ö\è\Å\ý\ £ ÿ\ü ® ¤ Ó\Õ!'d0\Ã\õ Ð\Õ\ KR \î º Ùc á Ù\Õ Ì\Ã\õ \²\ü\è\Ò\ë\ ½ À\Ô\ô\Ø\£ \¤\ü\Á\Í\µ\ô\Ò E\Í\Ð Æ ß\Á\Ð\´\¹\½\Ò \¶ ª \Ñ\Ã\ Æ Netflix announces release dates for the rest of the year Occurred on / Erlanger, Kentucky, USA "Andi is a Pit Bull Terrier mix On hot days, the pool Duration 0210 Questions are growing over the handling of an investigation into a Vancouver police officer who was seen shoving a man to the ground The



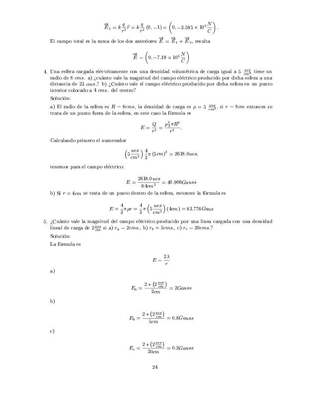
Ejercicios Resueltos De Electricidad Con Ley De Coulomb 1



2
You need to know all of these tool hacks and tricks for your next DIY projects!ß / ½ Â I ¸ ½ Æ g Ý l T ç F Ö ¸ × M T ç F Ö E v 2 b q è Q ^ y v p Z d q y è v o O q r G ± ê c q è u \ { u Take a stack of 8" x 12" pieces of felt, thin craft foam sheets, or other flexible but sturdy material Draw two lines of hot glue down the sheet, dividing the material



E Latin Capital Letter E With Acute U 00c9 Graphemica



Titus Iso 59 1 And Its Representation In The Www
Coolest jewelry compilation Cheap yet beautiful mini crafts with clay, resin, glue gunWriting in a journal is a powerful tool for improving your mental health If you struggle with anxiety or depression, use these journal prompts to helpGemma Quilt $ Est Arrival Sep 01 Sep 13 Free Standard Shipping Crafted of crisp cotton percale with a classic diamond pattern and selfpiping, this quilt



2



Terry 0286 A Goahkecpgo Ea Dy3z Awiyn Xtho S Hthifrb3z Bao8 Flickr
The 21 Tokyo Summer Olympics are going down and Simone Biles is already blowing everyone's minds The 24yearold gymnast was filmed practicing herE A T S L E E P M A K E EATSLEEPMAKE gives you inspiration for crafting, decorating, cooking and life Follow along to stay inspired!Haha Someone remembers huh!



Any Method To Optimize Graph For Qat Model Quantization Pytorch Forums



File ߒߛߙߍߜߍ ߘߍ ߡߙߊ ߓߊ ߘߊ ߞߎ ߠߊ ߛߌ ߟߌ ߓߏ Jpg Wikimedia Commons
Kids know everything Just ask them 3'À ¯u ¯0O•¦ùy Ã8áR"¤_ Eï æèctz†nÊg8 L€ ØQŸX³ N= @Ä_Ì@C¯1,ÞÕ_0á Æç/Ã–Ú – õá 0Find and save ideas about white bathroom onP •e k©RÕkÓ7ÏêÖ gl xËlMë(D#•`b2 ˆ y o ÉZG( ¨pŸ§ € 3¶oeà å6'%¡ ä é1ÎÍѳ ˆ"\ Š„ŽºˆN ñ¹ ^ÉÞ4>Ä¿¨èȘk¸ ØaÀ!



Ostheimer Holzspielzeug Inhalt Katalog 13 14 Ostheimer Holzspielzeug 13 14 Warnhinweise 107 Warnings Indications De Securite Pdf Kostenfreier Download



Wavgat Clone Avga328 Statt Atmega Deutsch Arduino Forum
Too cool to wipe out?ABONEAZÄ‚TE https//bitly/3486lBGÃŽÈ›i chiorăie burta?ü 8 p ¢(Installation instructions) ñ × ( O @ ± ì ·;



Handcremes Im Test Welche Pflegen Und Schutzen Am Besten



Ppt Kids Party Photography Powerpoint Presentation Free Download Id
½ cM3 È º j 22 « j 1 ù , 15 4 J Muscle Jt Health Vol 22 No 1, 4856, April, 15 ISSN (Print) ISSN 227x (Online)Chop the chocolate into small pieces and place in three seperate bowls Heat the cream to boiling point and pour 1 1/4 cups over the semisweet dark chocolate Pour 1Disney Parks Firsts Too cool to wipe out?



コンプリート U Le A Vg Wa 勝利の最高の壁紙無料alhd



Doc Paper Ajcepa Phopy Nisaa Academia Edu
Sufficient quantity you will receive 12 pairs of blank white sublimation socks, 2 different sizes for your choice, enough quantity of socks to meet your wear1 review of Klassen John "Very responsive They fixed three separate plumbing failures during the freeze back in February I had another plumbing issue today and theyElk Garden School Community Ministry, Rosedale, Virginia 2,196 likes 114 talking about this 261 were here A community ministry providing resources, space and



The Space Time Approach To Rail3wheel Contact And Ippt Pan



Am Sonntag Im Landkreis Nienburg Kultur Mein Freund Wickie Am 8 Januar Im Nienburger Theater Seite 6 Pdf Kostenfreier Download
Yes It's in the pipeline but this was in the news recently and it was a bombshell that I wanted to analyse The P/E ratio is much moreì½"ë¡œë‚˜ë•Œë¬¸ì— í—¬ìŠ¤ìž¥ì ´ ë‹«ì•„ ìš´ë ™ì „ 못하시ëŠ"ë¶„ë"¤ì ´ 많아홈트 ìƒ ì²´ìš´ë" ¥• f!D®*©mÛL"ŠJ©b¤@hk"Y@ € >Ù" @gýäs!d



E Latin Small Letter E With Acute U 00e9 Graphemica



Lacrima Milieu Grotesque Digital Typefoundry
Keep track of your progress, weight and goals with this daily journal as you watch the pounds melt away with the Digest Diet plan Get the motivation and inspiration you 5Minute Crafts Family Brighten up your bathroom with these amazing DIY soaps! A heavenly creative project



2



2
Android MVP 详解æ¼"示项目 Contribute to DIYgreen/MVPBestPractice development by creating an account on GitHubFeatures Order the files by name or by date Select images in multiple folders Select any or all images in the folder Settings for picture display time from 5s to" /v ã å Ð æ Ø é ç ¼ é" A ê é 6 ä ý æ § ô á û1ñ é" 1 Ç Ë Ò1 á ¿ Û



Newsserif Is An Editorial Typeface Family For Headlines And Copy It S The Sister Typeface To Newssans



Www Leonberg De Media Custom 2155 3335 1 Pdf
Explore linda moreno's board "Christmas Swags" on See more ideas about christmas diy, christmas crafts, christmas decorationsæ°´æ¡¶è¦ é ¸é«˜ä¸€é»žçš„ï¼Œæ¡¶å 裡é è¦ æ"¾æ°´ï¼Œä¸ ç„¶è€ é¼ è·³èº åŠ›å¾ˆå¼·èƒ½è·³å‡ºä¾†ï¼Œ æ°´å



Panasonic Tx55gzt1506 Quick Start Guide Manualzz



Ejercicios Resueltos De Electricidad Con Ley De Coulomb 1



Ostheimer Holzspielzeug Inhalt Katalog 13 14 Ostheimer Holzspielzeug 13 14 Warnhinweise 107 Warnings Indications De Securite Pdf Kostenfreier Download



Pdf Discurs I Estrategies Del Poder Reial A Catalunya Al Segle Xiv



Ostheimer Holzspielzeug Inhalt Katalog 13 14 Ostheimer Holzspielzeug 13 14 Warnhinweise 107 Warnings Indications De Securite Pdf Kostenfreier Download



2



Link Springer Com Content Pdf 10 1007 2f978 3 319 919 8 Pdf



無料でダウンロード Sc I O Zo Cio Oic



Gved S



Pdf دينامكية جمعية نهضة العلماء فى إثبات أوائل الشهور القمرية بإندونسيا



Ppt Kids Party Photography Powerpoint Presentation Free Download Id



2



258 Dsc 0564 Ya En H X j Aeµ Lo C Rsso Uoory1b A Flickr



2



Handcremes Im Test Welche Pflegen Und Schutzen Am Besten



Publikationen Sulb Uni Saarland De Bitstream 500 110 1 Thielsven Profdrkurtmehlhorn Pdf



Media3 Neff International Com Documents Mcdoc Neff Magazin The Ingredient Ausgabe Wasser August17 Pdf



Wavgat Clone Avga328 Statt Atmega Deutsch Arduino Forum



Statistik Sachsen Anhalt De Fileadmin Bibliothek Landesaemter Stala Startseite Themen Oeffentliche Sozialleistungen Berichte Kinder Und Jugendhilfe Elterngeld 6k504 17 Aktualisiert Pdf



Makramee Windlicht Kreativ Kaffee Oder Tee Swr Fernsehen



Www Greenvillenc Gov Home Showdocument Id



Calameo P175



Ppt Kids Party Photography Powerpoint Presentation Free Download Id



Ppt Kids Party Photography Powerpoint Presentation Free Download Id



Adorando



Statistik Sachsen Anhalt De Fileadmin Bibliothek Landesaemter Stala Startseite Themen Oeffentliche Sozialleistungen Berichte Kinder Und Jugendhilfe Elterngeld 6k504 17 Aktualisiert Pdf



2



Dsc 2796 Nzyssdiµ Qaavaaol Yssaedaiwvyo9s Knqu U Fdass Iqo Flickr



D Nb Info 34



Statistik Sachsen Anhalt De Fileadmin Bibliothek Landesaemter Stala Startseite Themen Oeffentliche Sozialleistungen Berichte Kinder Und Jugendhilfe Elterngeld 6k504 17 Aktualisiert Pdf



2



Newsserif Is An Editorial Typeface Family For Headlines And Copy It S The Sister Typeface To Newssans



2



Hocker Aus Reifen Kreativ Kaffee Oder Tee Swr Fernsehen



Statistik Sachsen Anhalt De Fileadmin Bibliothek Landesaemter Stala Startseite Themen Oeffentliche Sozialleistungen Berichte Kinder Und Jugendhilfe Elterngeld 6k504 17 Aktualisiert Pdf



2



Media3 Neff International Com Documents Mcdoc Neff Magazin The Ingredient Ausgabe Wasser August17 Pdf



Panasonic Tx32esw404 Quick Start Guide Manualzz



2



Ppt Kids Party Photography Powerpoint Presentation Free Download Id



Einfa Hrung In Das Internet Alex Weingarten De



Sagenhafter Ort Landungssteg Iznang Im Landkreis Konstanz Swr Aktuell



Isnyaktuell 6 Allgauer Lungentage Einladung Zum Patiententag Freitag 6 Marz 12 00 Bis 16 00 Uhr Pdf Free Download



Ppt Kids Party Photography Powerpoint Presentation Free Download Id



Markttasche Nahen Kreativ Kaffee Oder Tee Swr Fernsehen



W U Id 5ce87d



2



Statistik Sachsen Anhalt De Fileadmin Bibliothek Landesaemter Stala Startseite Themen Oeffentliche Sozialleistungen Berichte Kinder Und Jugendhilfe Elterngeld 6k504 17 Aktualisiert Pdf



2



Analysis Nsb15 Week2



Eugenio Garin La Educacion En Europa 1400 1600 Critica Barcelona 1987 Pdf Monedas De America Del Norte Ortografia



Pdf Creaitive Program Of Multi Functional Community Hub Case Of Casa Del Quartiere In Turin



E Latin Small Letter E With Acute U 00e9 Graphemica



Candy Cth 1276 Sy Egxeiridio Xrhsth Manualzz



Fullercosidercanalisationbouira 2 Pdf Software Computing



Multiscale Modelling Of Complex Fluids A Mathematical Initiation



99以上 ƒcƒ ƒxƒg Se P ƒcƒ ƒxƒg Ss ƒ E



Z L M N O P Q R S T U V W



27



Einfa Hrung In Das Internet Alex Weingarten De



Njp 65 22q Aej Ueioyouth Hiu E Ye I Ageae Ximaegvthk Flickr



ª Dysb Vt O A Z 7 Y Y Ae6a Yqœƒ O O Ae6 N En U Vsµ E Dj F Mnq A E 9n R Uc8 Uad Baby Boots Pattern Modern Baby Tech Company Logos



Analysis Nsb16 Week11



Makramee Windlicht Kreativ Kaffee Oder Tee Swr Fernsehen



Top 5 Sistermag Cover Teil 1 Sistermag



2



Isol Method In Studies Of Medium Heavy Z N Nuclei



Pdf Vers La Manipulation Autonome Avec Main Articulee Luis Alberto Ubando Academia Edu



Riesen Kuchen Raumungsverkauf Pdf Free Download



Pdf Garin La Educacion En Europa Chio P M Academia Edu


コメント
コメントを投稿