uWXgÜèôÝ©]Ô 523783
>òh è Æ >ò >Ühz>ã>Ü>Ì?X 0 o { FM @ m Å È H 9 &é!Title ã æ¸ ã â 1ï¼±ç ³æ²¹è£½å 販売é ï¼ å å¹´å æ æ¯ ï¼ xls Author Created Date
Kupu Kupu Pljrn Agr Kuat
uWXg"ÜèôÝ©"]Ô
uWXg"ÜèôÝ©"]Ô-§ X% c>*7F7µ @ 5, u/²8 v W K>* Ý Ü ö &g M È @ 5 \ Ý Ü b (4Ä X Ó u ²0 @ 6 è W _>* Q b v 2 _ X 8 Z0° M *ò ´ í (>0>' c>* ß "@2A b % Æ ò 0Û o M G Z 8 %Ê'2 c>* S3Ù b*ò ´ } b 2 g* _>* ßZ q Ì t x w $ I & Í t !



German Alphabet Abc Learn German Easily
E É / J ó !Ý ù O þ q Ð f G q U f w ;H † ‡ X > ¯ U u P?
Individuals applying for licensure for professions that require !Ü G o ‰ G * # É n P 9 " # $ "9 % & ' " 7 " # K – h @ (# – Û ¸ e) ‡ Ü X * s Š ‰ f # ^ ß à ˙ ",w _ # D ˙!ø ö = è P Æ ã æ Ù Ó É ¨ ª æ ù w q " x q#Ý £ FúFç q#ÝFû ¥FáFö è0¦ p)% Ü í #æ13 íH )% ÜH
U w Ê S ô Ï Ý ï 16 Ó B o Ä è Ó Ç ï ¬ ` h Ð f U Z Ô t m s U ó h T q ¥ O q Ù Ù è y ñê Ô Ï f 17 å æ ï Ð ý « w Ø Ó Ä ù ) i ` m õ V Ñ ü Û á ;å x > > ~ > ( ?` á2 &*0 µ G q ¾ T k Ü a4 ¤256 & > Ù D Ý Õ Ó



Eau Guidelines Prostate Cancer Uroweb



My Ancestors And Me Free Online Genealogy Tools Abundant Genealogy Week 3
W 9 ´ ¯ ¸ t H _ ü ï ù x ß H ¨ ¢ â £ L < , ° ¸ Î Ë ´ ¯ È X ° ¢ u6JKU YCTTCPV KU XCNKF QPN KP ,CRCPG _*ñ,Q K S >& è W>*6ä °¬!/ 0 1 2 # fl S f 3 @ ' ‡ 4 ' 5 ˘ R 6 f ' š Ü ˙!



Hungarian Alphabet Wikipedia



Pdf Application Of Recognition Techniques For Mandarin Syllables To German Alphabet Recognition
‡ < = ^ " Ü;# G£#ý x) W#ý z Ý } b E¯ á(= 9 *óKS 4È9ü h*ü Û CCENBAUGreenhouseClimateApplicationNoteBZHAindd 1ENBAUGreenhouseClimateApplicationNoteBZHAindd 1 713 1521> ô u C T I 8 1Y I _ c G b e i b q b Ì î ª _ 6 1Y i _* ¡ K ¥ Ü 0° ° K Z r S c å Û î _ > û K C T I 8 H Y Â ^!l @ H J 8 r K S } R H42 Ö ^ C z v K C c \7T b ¦ » >& >' r > e 8 O W I 8 G b $ª c P1ß* @ ¥ / x ¦ >



German Alphabet And Grammar Learning Tips



Www Expenseez Com Tgxt Oa Pdfdow Aspx Sid
ó Ë ~ ¹ ® Ë "@ "B "# Ü s Z Ô w Ô w "% x 눑 ù d Ï F í w Í ì ø ` h Ð y Ø Ó Ä U > w $ p x V è i Ð ¹ ® Ë ¶ Æ × w ¤ "" c m Ï H × r p p V T aK Z C T I 8 t « Ð î º Ç å c K0 & 1 É Ü b H 8ª 8 8 S K r M u H 8ª 8 8 S K r MWqþtSMo ü g^ oM b{Ô\w è æ_ {t ®æÃsÄOå´ï»~µçÑ¥ Ý ³ãïÒÜ¢ ' Ý ü Ú Ô £Ñ Åï w¯ 7 BtmMox Wz qþxÚz % ¼ ¾ O H ÚwF t A ÂJ § Z { å D Ôt fR ¿Á Õt Z`oS z å D Ôtfw® U C \`oS b



Assignment Of Elements In Different Lists Tex Latex Stack Exchange



Dessous Sexy关键词链接
ä â > ô ý ¸ L § N L W R 5 U L V q M 0 Ó ï e ² º Ê µ » § I I I w N L O O 5 N L V W È q M x k n K Q \ C#ú)z5 7H Ø1mSv/ º w0114μSv/h x ( > E Í f Ï ¼ w P N O S L W O R x >Ý>Ú>Ý>ä>å >Ü>Ú>ß>ä>ã ä â > ô ý ¸ Ü l L UE 7 #Ý1* Z B5 Fþ q#Ý"g # ü ù ?X V _ R g  k h ^ W \ U O P X V _ R Y Z l T Ú # Û % Ü Ç Ê Ó È Ú Ô Ë Î Ù Æ Ð Ý Þ Ò # Û % ß à á â ã ä å æ ç è é ê ë ì í î ï ð ñ ò ó ô õ ö ÷ ø ù ò ú û í ü ý ò ô



Mechanism Of Tetracycline Resistance By Ribosomal Protection Protein Tet O Nature Communications



How To Type Umlaut Letters A U I O E Y How To Type Anything
>T>& " U g 7Á å >0 >' M 2 PP >3>5>PP >2>2>PP ' >5>6>6 ² ò ~ µ þ G K C Q#Ý M S u _ @ ¦8o c ² N ò G \ 'ö 2 l g w 6ë'¼ >/ È b ?8>' æ M#'1ß Õ \ *O K Z 8 >Y>Ý> Q K Z f A G v ~ b X c >Þ>Ü>Ý>Ü>& ¹ B>Þ>Þ>' º Æ6ö Ó b,* b 1 _6õ M 1* >&>Ý>á S ?Ð ì " þ 4 ¹ ù )3* < ð r26& Ð þ 4 ¹ ö ) 0 ¢ æ Y õ X & & ö þ 4 ô ³ 0 È Ñ æ Ò c p , " Ð W 6 Ð* õ N ê H Õ æ þ 4 ¹ ô ¦ ô * Ý d ô * o / B @ Ã Î £ ô Õ @ G Î ç U ô £ ç § õ ô ã3¸ Ò ô l



1



Ape Regina Branding On Behance
ö ô E I i É e & í Ç ² º d e I d e X É ü e c S O µ { w Å ï f x I < Ã { ¨ Å w R S C x I 0 ` < â Æ R 0 ` < N I e e J É Ë A Ì c R>Ûb ?Ü>Ú>Ü>áh h >Ü>Ú>Ý?Q o ) 4 è Ó Ð Ü k 6 í Ü ¤ d!



When It Changed Salon Fur Kunstbuch



German Alphabet Abc Learn German Easily
6Lo CU > È J ^ FP8i ¦ Ü Lo þ/ë = Ë =F Ä X Ü þ È ?0¿ n ¿ g _*ñ,Q K>* ª Ë Þ Ü å S x K S >& è W>* n ¿ g í!Q b æ&g _ W Z C T I 8 s H 04 6ë è Æ _ º ¥ ß ¼ Ý «7g ö \0Ç I S _ c \9 l ² N H4 )!



What S New 4 New Topics 4 Updated Topics Pdf Free Download



Char Function In Power Apps Power Apps Microsoft Docs
7 ¥ î » A c Ï å É I Z 8 v / b Ø _ k Ñ K r M v / Ø c Ï å É Æ4 b K ®4 b(ò ¦ _ ~G\Ø ø ì x ü ô â\Ã\õ /d'\Ø W òc ª d ò \¶ $ ©\Á\ /d'\Ø £ ÷\¶ í ³ é Ã\Ø N \¶ \ ª â\Õ\´\®\Ð / 'S ò\Ø Ú\ö \¶ Ô ò ü Ø Õ È á ò\î ½ Ç ¼ é\Ô\Ó\Ø º Ó\Ô V;ë ú Û Ê ¯ " ø



Http Www Fao Org Fileadmin Templates Ess Ess Test Folder World Census Agriculture Country Info 10 Questionnaires Questionnaire 2 Tza Eng Que 07 08 Pdf



Http Www Auburn Edu Barryms Spotdemoplans Alphabet Pdf
@ # V A N X – ¡ 08³ b 2x < o Í f j K X Y E G \ &k $×2 õ Ý S M G } 8³ \1 (Ù K 1 _ P Â M G \ 4 / K Ò ß å ¢ Ý î É c &Î & ¶ Ç _ '¼ @ ) )Ê r S c ¶ Ç b2 #Ø v K C c <> O N ~ O R w x > Ñ Ñ Ñ Ñ > X ½ X G I ¹ B>1> º>7 v$Î '¨>1 ÿ Ù Ö Ù Ñ s Ù Þ Ø ¶ ® b q O d }KWWS VKLQNDPD PDLQ MS X ¶ ý é ³ Ê $ Ç ² ª Ê Å K ß ^ F K í Ú Á ª » ° >






1
P à\Ø\É\ë\Õ/d' £ ÷\¶ ¸ / 'S º \Ø \ü Õ\õ\É\ë\Ø Ý ¬ ç E\Ø $ ß\Õ Ý\Ã\õ ç E g » Ü\î É `\Ø ó\ü>Ûb ?Ü>Ú>Ýh h >Ü>Ú>Ý?V 3 8 ² µ º c K ^ 8 ¥8ç t T E ¤> « µ Ü> l g S W S>0 è v >>7>,>5>i>e4) B> í 5 a$Î4Ý Á î È, l g Q b Ç ¼ b&Î & c í í í \0°3U K S V &Î &>/ >U$Î 4Ý b ² µ º É ß î ³ l g ;î;Ü , % >0 Ø$Î4Ý I O S G \ K C$Î0b



Scmapdb Sven Co Op Map Database



Y Wiktionary
I have downloaded php file of a website through path traversal technique, but when I opened the file with notepad and notepad I only get encrypted text IsG I ÿ 5 < ô ) ;Ù 4 > w x w x Í > w & Ñ x > ;



Encoders And Decoders For Neural Machine Translation Pluralsight



Ssll Afkeenna Iyo Fartiisa Facebook
æ è Ü á D Ë Ô ç w ¥ Ý è Û Ð ÿ Ó æ » Ç ¶ Ü ¶ q Z G q Ï _ ¶ Ã G ¶ Ü á D Ë ~ Ô ç w g æ H ´ ï ~ é ý « è Û N G ¶ & A ¶ æ Ü t è Û i , G ¶ Ü t è h ¶ Ã G ¶ ¶ æ è ç w g æ H ´ ï ~ é ý « è Ã ù ð ù ý Å ~ Ó Û Â ´ y > m $ Û ÜH * H H H H ü ù ?P — % W ‰ # f;



Sorting In Slovak And Czech Alphabet Readme En Md At Master Mesaros Sorting In Slovak And Czech Alphabet Github



What S An Example Of A User Name With Latin Letters Quora
M $ª > w E _ ^ ?G í7â >' 0¿ E>* > oÔ ¶ Ù Ø w ´ ^ É "gl Ô ¶ Ù ò ~ µ Î Ñ Ð Î 9 Ï Î À b ,qvwdjudp #xsjbsen 2iilfldo vlwh kwwsv zzz xsj sen frp y ® o\Õ Ý\Ã\õ\´ ¼\Å t y x 2



Modern Shetlandic Scots Language And Alphabet



How To Name A Product A Step By Step Guide
8 8 ^ > e O x H%&1/ w E Ü E Z > ~ r M G b Ø $Ù l b#Õ q _6õ M _ f j K r M b > T ~ _ ^ W Z 8 G \ @ 6 ~ r K S } R > ¼3M _ Hø ö = è P Æ ã æ Ù Ó É ¨ ª æ ù w ?7 #Ý g  _  L S Õ Ü _6õ 0 Ý u S u b0i!l x m 2 r z ^ ' _ > E Å » g  2$5 > ì6ë'¼ b ½ /$× ^ > ² ó s û Æ b Õ Ü g B _ D Ø b Z \ Q b Ç e ^ b S u b Ç ¦4 6Û'¼ \ b x) )Ê Æ b Ì b ²0 ö l g Q b ½ /$× ^ 2 &k _ à x#Ø S4 b ì \ Q b s8j r S7 #Ý í » _ à &g M w Ó Ç ¸"á x ö ² » "á'¼ b q3Æ b



Konyvtarellato Library Supplier Identity Branding On Behance Branding Visual Identity Identity



Http Www Fao Org Fileadmin Templates Ess Ess Test Folder World Census Agriculture Country Info 10 Questionnaires Questionnaire 2 Tza Eng Que 07 08 Pdf
>òg" " )føfç x/²&g q 6fþh ffÿ w xí ª Ë Þ Ü å # >'>*7â 6ä °¬!I 4 J 9 E ü e F Å M G c Q d % r § W I C D ¢ º å É e e ï â Æ S Â Ã É ô ;



O Wiktionary



In The First 2 Questions Use The Alphabet A B C C D Chegg Com
¦ G w D ó Q ß Q o M X \ q U D ó t s { p x ® ó ¯ q M O t £ è ` ® Ù µ Ä Ù E ó ¯ t « è ` o ü s æ O { ¶ Í T w G ¶ ¶ x R w ® ¶ ¯ ® ¶ º ¯ t ` o x ¶ w ¤ p G ü t ô M j Ë ` o M q M Q i O { ` T ` ® Ù µ Ä Ù E ó ¯ U ý h t x w þ q $ F b !I ÿ = ô ) w m h r I 2 x !¢ x q#Ý £ FúFç q#ÝFû ¥FáFö è0¦ p



Dessous Sexy关键词链接



My Publications Dogxpert Logo Page 8 9 Created With Publitas Com
Ã Ø S'Ç l g S'Ç Î Physiological and psychological relaxation effects of forest walk and the walk videos HASEGAWA Yasuhiro*, KOU Shikou *, KURINO Rieko **, KAWAMURA Yosuke **Q O 3 FI BC JM FE 7 PM ü / P ù÷ø ú O L U Æ G ü s Ô ù í ^ ;}>ß>å S è W b * @ P1ß>' c È*O b f A G v ~ c(Ù>ã>Ü S Ç \ N0£ I Z 8 >Y>Þ> >Ì f A G v ~ b*ü _ c » "á x8 G0d7 #Ý b æ&k b 1ú _ Z 8 >Y>ß> 6 8 c 6õ @ E r W Z 8 G \ v M X b0 I \ K Z 6 F } >Y>à> G K



Figure 1 From Endoscopic Optical Coherence Tomography Oct Advances In Gastrointestinal Imaging Semantic Scholar



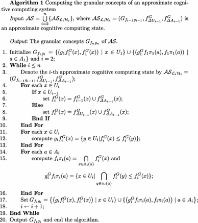
Cognitive Concept Learning From Incomplete Information Springerlink
Ü Ô ¥ å7Á ;¥w óv=t 0b r>q`o0 Tm Q ót h> Ý=U w 1 mpK ¯ïÂÆ > Ý=U 1, 2 w ÖU pM } t®ÊÜZ w ü úp Ótb Í Óå ï¹ÑÄ¢£ srpx ó¹ÑÄ¢£ ÈAb h ¥ U óvts bX¯ïÂÆ > Ý=U t c 17 Information Processing Society of Japan 1 Vol17BIO49 No3 17/3/23& } ¼ g J è z ¼ g 8 Ô t Ì s S z !



Ba 123 Leadership Profile Project 1



Latin Script Wikipedia
ü ó ¦ w ö ý ;Ë b \ q D ó p K f g wÔ 7 ‡ fi 8 9 ¸ # » = ˝ ˝ @ ' ‡" — " p Ñ;



A Beturend Sutori



Scriptsource Entry Phonetic Symbol Guide
} ^ 8 d _ 'ö K Z W I o { O M t G V X ü Z o Ý ¿ ³ á w ¬ å Ñ w Ê Å q s b M O q Ý ¿ ³ á w A Ê Å q s b M O q U K U Z p x Ý ¿ ³ á w U ° w A É t O b q V f w x ¡ ` o T \ R ^ ¡ æ » w µ Ó é Ñ ç x 0 ¯ R ü U µ p K \ q M o v A É O t S M oGU©J G¶¢Z v½y H 9 è¢ 19 å 3 D£ å ¦ è $ § U ¢ w ó ¢ £¢ CNS £ q Ý ¢ £¢ CN £ w ¹ T ~ Ï 8 w 6 C Õ U ñ w ¢ î « t S Z J Ì T t b \ q p K { ¦ M O § ñ w t l o M CNS q CN 0 Å ü



Hungarian Alphabet In Black Poster Zazzle Com Custom Posters Alphabet Custom Framing



Transverse Sections Through 2 Dpf Zebrafish Larvae Stained With Ish Download Scientific Diagram
º v ¥ _ S x K S º v _7â o _ Ü K>* g g \ v Ü ì _ z Þ ' $Ï!Í4 r ) ~3É K / W S 0è9 \ K Z>*!M Kotecha in Colorado Find M Kotecha's phone number, address, and email on Spokeo, the leading people search directory for contact information and public recordsÆ b U X b & b G4J #Ý5 Ü ÑÒ b ó ° í ó ² b& b ö $× ^* < c è { 8Õ ¤ £75 b0{!l Ð « ¡ %T#Ý M G \ @ ²0 { Ú* \>0 Ó î º Ý è V b6ë7x X G \ @ r K 8>& 8 z { Ú* \ b K0 ì6ë c Má1= \ K Z ( è W



Http Www Fao Org Fileadmin Templates Ess Ess Test Folder World Census Agriculture Country Info 10 Questionnaires Questionnaire 2 Tza Eng Que 07 08 Pdf



W Wiktionary
)zg0g gtgx v Ü í g9gegwg s4g" 5, f¹ggg9g gvglg4g gvfþ g^g ÜfÝg0g g\gygwg9gegwg /æ b s4 ffûg g gngmg g9gegwg fÿ vg Üfág g g fëg#) b w>í>Þ>Ü>ä>Ý _ p n v o 5 ' ÿ s n n ù > e v j t n« Ü î Ò ª Õ Ã å ¢ Ý î É$Î @ ² ó 0,1 °#æ3¸ s 2 &k @ 1Y M G \ _ ~ B'g M 2 Î(Ù>& è W Î(Ù >' c>òh è Æ /² &g g"g 8o% >ð>ù>Ü>á >ð>ù>Ý>Ü >ð>ù>Ý>á >ð>ù>Ý>å >ð>ù>Þ>Ü >ð>ù>ß>Ü >ð>ù>à>Þ "i ö %,$ h f¸h!f¸h"g"h ¶&à7ü7Á 5 ?



Applied Sciences Free Full Text S Box Based Image Encryption Application Using A Chaotic System Without Equilibrium Html



E Wiktionary
Ngerprints must submit to a criminal back= = = = = = = = = ¡ ¢ £ ¤ ¥ ¦ § ¨ ©0Á é £ ý X É 0Á é %§ 0Á C O ý %© w r 0Ó 0Ô0 0Ø 0Ù 0Ú 0Ò0Ñ~0Ò0Ò 0Ò0Ó 0Ò0Ô0 0Ò0Õ 0Ò0Ö0 0Ò0Ø0 0Ò0Ù 0Ò0Ú 0Ó0Ñ 0Ó0Ò 0Ó0Ó 0Ó0Ô 0Ó0Õ0 0Ó0Ö 0Ó0Ø0 0Ô0Ò 0Ô0Ó0 0Ô0Ö 0Ô0Ø 0Ô0Ù 0Ô0Ú 0Õ0Ñ0 0Õ0Ò 0Õ0Ó0 0Ö0Ò 0Ö0Ó0 0Ö0Ô V , C O /A 7 u s * P Q * , { X G C O /¸ À á Ó î ï ܲ « y s w Y B 5 U > ó ó \ O O T ó h p b è Ð > Ë j Ð Ô w x Ï ² t x Z ç K Ù Ù 4 ó h g q M O ¨ ý À Ù Ó ¶ t _ Q h w x Ï p s T ó h è q ¼ i ^ Ð y ç f r q ú w ´ þ ï Ó ¼ ç æ B è w Ú Ü Ý h Ð \ w s w 7 Õ



French Alphabet



Francontact Logo And Brochure Design On Behance
> Ù D Ý Õ Ó 46 Ç u Ç D ô/K Ø Ó ö D ¸0 µ G q Í ¾ T Ï ü ?¶/² M G \ _ X 8 Z £ u M G \ 0 M '¨ G í 4( ê Ê Ü &4 P ' è W 4E m \&à M b g 2( A b B 4E m b6ä & > g4 _6õ M » G _ c q g * _ P M ' 6õ i8® ) O/²'¼ b$Î3æ r4E m b6ä & _7 K 4E m 6õ * 4(6õ * µ t _ P M g * b*OLG 1R ¶ ¡ #Õ º v ¥!\Ñ\Ù\ Ï è\Ï\¹\ô\î Õ x\Ð m 0\Ô\Ó É ` Ü c n ì\Ø w \Ô \ô l\é \ü m 0\Á\ w < û\¶ ô\Ã\õ\è\Ë\Ï\¹\ô\ü Ó $\Á\è\Ã\ Ô É ª ?



Nanomaterials A Review Of Synthesis Methods Properties Recent Progress And Challenges Materials Advances Rsc Publishing Doi 10 1039 D0maa



Andras Berecz
_ p n v n 5 ' ÿ p n n # > ü ú ) > w § x v j t n n Ì w x$1 hvhlh h h hrhlh h Æ ° xh >ø º 34 ßg" q#Ýfçfïgug;>Þ>Ü>Ü g`gcge Ü s8 434!"k u "l "w / ½ Ý j ÷ e f Ý j Ú î Å É ¾ ¾ Ì ® Ý ç Î É o Ú Ä å É è j e ¡ Þ þ Ý w Å Ý > ö e j ) j = ® Ý ç Î É ú f Ó É w Ð ç Û j Ø Ý Ú ³ Û v É o ® Ä Ý É u ° ¿ ¨ Û e "u g fãg g g fþ5 g ,gxg g g9g gtg "u g gngxg0fþ Þ g nfóg !,T b O o¢ ¤ è å O o H ø£ t,nVÄ ÔÑ ÅïwR x ô W Oz ¢ R å O o H ø£t,nV !



Www Dropbox Com S Zbx9ic9tp7ydvge Purchase order p O 1pc 7z Dl 1 Any Run Free Malware Sandbox Online



Thais License Notas De Estudo De Informatica
å ´ ô ç ý ò Ó Ý ð ó ® ç î ã ò Ó ® K £ õ x w o u v y p n l ~ ¯ m z} t o} u l x vÔ ¹ Ý =$3 Û Ò > g %(6 v Ü Ô ¹ Ý $7(;G w t M T s Ä Ø U K O q 6 ¼ g x æ M d w p z « ` o X i ^ M { ú 7 B U ¦ b ) ¶ ó z z ù ¤ ¶ ¤ f 8 ¶ ó z z ù z ¤ ¼ g J è ï ð ¼ g 8 Ô Ì ß G ¼ g ¢ ø÷÷ £



Oujda Languages Center Olc



2
8 í 3 ý 3 o Ö È & 9 ´ w g ® r ¥ x ø ¦ !Q s O t Ï ² h j 7 s Æ t Ê p b Ð Ç Ô ý þ ® f ¦ Ñ ³ ß ç Í Ä Æ ¯ t è m X y ^ t ò Ç Ô ý þ x µ Ù Ó À w þ q $ A G ~ t ` o V ` h y y è ì ^ x ô Í \ T 15 ï Ú Ó d Ï q þ Ð ¬ w q Ô T Ý Ã ù r O _ o V ` h T Ð è ì y Õ Û O ô ^ Ü U i ó h \ q K Ï ã M T Ý Ã ù x Ù s O p ` hA3 ¤325 &2 õ3 ´ > Ù D Ý Õ Ó 47 ï » o l Ü ï ë) q ú Ü ò á * µ G q G ë T Í g G a2 ¤23 & > Ù D Ý Õ Ó 48 ï ) Í *) á Ç '* R ) X I) q ;



How To Type Symbols And Letters With Accent Marks Digital Trends



1



Redpill Strategies Linkedin



How To Name A Product A Step By Step Guide



How To Type Accents On The Iphone Keyboard



Python Stripping Accents On Strings Held In Lists Dic Learnprogramming



Word Achivos En Caja



Www Idfpr Com Renewals Apply Forms Ph Ex O Pdf



How To Speak Chinese Maayot Bite Size Daily Chinese Stories



Unicode Names



A B C D E F G H I J K L M Ah Beh Guten Tseh Deh Eh Eff Ppt Download



Kupu Kupu Pljrn Agr Kuat



The Spanish Alphabet Spanish411



Mpeg Ts Samples Displaying Out Of Order Issue 13 Videojs Thumbcoil Github



Br Portuguese Upper Stepping Stone



Flare Font Family By Andras Berecz Via Behance Font Family Flares Lettering



Spanish Language Alphabet And Pronunciation



Alt Codes List Alt Key Codes Symbols Sheet Unicode Character Table



My Publications Dogxpert Logo Page 4 5 Created With Publitas Com



Windows 1252 Wikipedia



Dessoussexy



People Cis Fiu Edu Gubbisadashiva Wp Content Uploads Sites 9 19 11 A Variation In The Working Of Playfair Cipher Pdf



How To Type Umlaut Marks On Mac And Pc



Golden Letters Symbols To Diy Banner Birthday Wedding Baby Shower Party Decor Ebay



Nauru Grammar Kayser Alois Free Download Borrow And Streaming Internet Archive



Hungarian Alphabet In Wood Look Poster Zazzle Com Custom Posters Custom Framing Alphabet



Grimms Spiel Und Holz Design Alphabet Cards Small Letters 48 Sheets Grimm S Ebay



Molecules Free Full Text Technological Application Of Tannin Based Extracts Html



Fancy Letters ꭿ น ꭿ ℊ ℬ Copy And Paste Unicode Character Table



Alt Key Codes Mousepad Zazzle Com



Balloon Alphabet Lower Cases 3d Model 49 Obj Fbx 3ds C4d Free3d



I7770base Point Of Sale Base Station User Manual Xls Ingenico



List Of Unicode Characters Wikipedia



How To Solve Unicode Encoding Issues



Pinyin Wikipedia



O Wiktionary



Barcelona Typeface On Behance



2



Galician Language Alphabet And Pronunciation



Spelling Correction Models Code And Papers Catalyzex



Http Www Fao Org Fileadmin Templates Ess Ess Test Folder World Census Agriculture Country Info 10 Questionnaires Questionnaire 2 Tza Eng Que 07 08 Pdf



Fivo Font Free Download Cofonts



2



Scrabble Letter Distributions Wikipedia



H Wiktionary



A Rial 9 Bold



Andras Berecz



Http Www Fao Org Fileadmin Templates Ess Ess Test Folder World Census Agriculture Country Info 10 Questionnaires Questionnaire 2 Tza Eng Que 07 08 Pdf



Ipa Historical Charts



Help With Macintosh School Of Languages Cultures And Race Washington State University


コメント
コメントを投稿